Follow us on Twitter and win Autohex II Scan Tool for Kia and Hyundai (worth 945.00 USD)

P0115

AutoHex Online Help: Hyundai MATRIX(FC) 2003
TROUBLESHOOTING FOR DTC

DTC

Diagnostic item

P0115

P0116

P0117

P0118

Engine Coolant Temperature Circuit Malfunction

Engine Coolant Temperature Circuit Range/Performance

Engine Coolant Temperature Low Input

Engine Coolant Temperature High Input

DESCRIPTION

The Engine Coolant Temperature (ECT) sensor is located in the coolantpassage of the cylinder head. The ECT sensor is a variable resistor whoseresistance changes as the temperature of the engine coolant flowing past thesensor changes. When coolant temperature is low, sensor resistance is high;when coolant temperature is high, sensor resistance is low.

The Engine Control Module (ECM) checks ECT sensor voltage and uses theinformation to adjust fuel injector pulse width and ignition timing. Whenthe temperature sensed is very cold, the ECM enriches the fuel mixture andadvances ignition timing. As coolant temperature rises, the ECM reduces theamount of enrichment and timing advance.

FAILURE CONDITIONS

The ECM will set P0116 and the Malfunction Indicator Lamp (MIL) willturn on if the ECT sensor's actual performance curvefalls more than 68?(20?) below the ECM's model curve (based on fuel delivery, ambient air temperature and engine running time) for 0.2 seconds during two driving cycles. This code indicates uncharacteristic engine temperature performance being read by the ECT sensor or ECM.

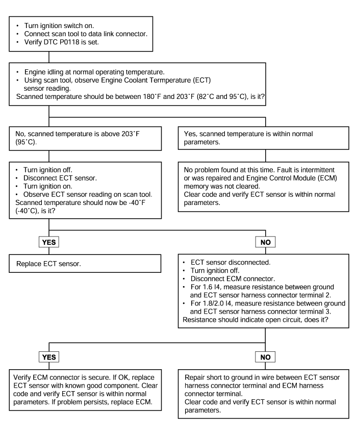
The ECM will set P0117 and the Malfunction Indicator Lamp (MIL) willturn on if the ECT sensor reports a temperature below -49?(-45?)for 0.2 seconds during two driving cycles. The ECM will set P0118 and theMalfunction Indicator Lamp (MIL) will turn on if the ECT sensor reports atemperature above 284?(140?) for 0.2 seconds during two driving cycles.

note

The ECT sensor resistance varies with temperature as follows:

5900 ohms @ 32?(0?)

2500 ohms @ 68?(20?)

300 ohms @ 176?(80?)

CIRCUIT DIAGRAM
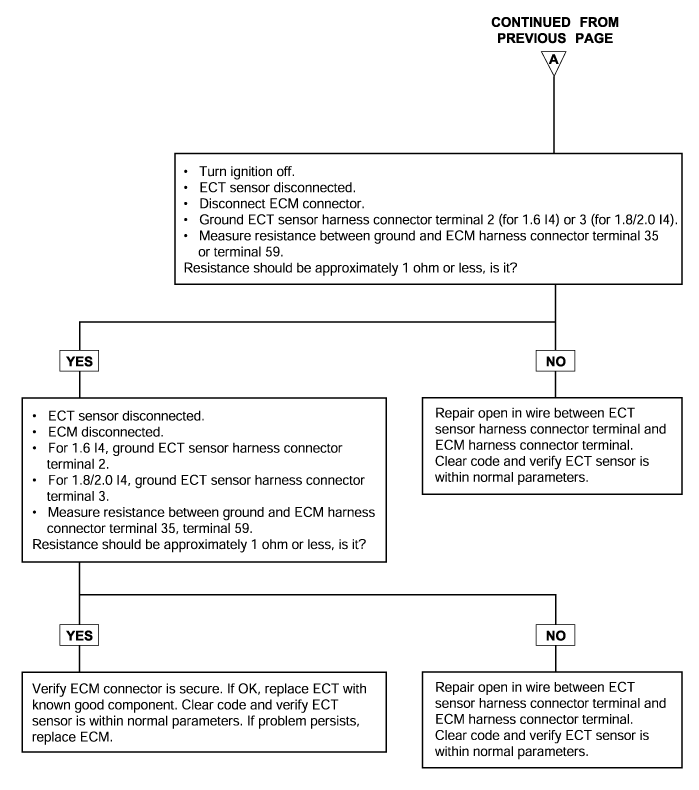
TEST PROCEDURE